Data augmentation is essential for improving the performance and generalization of Convolutional Neural Networks (CNNs), especially when training data is limited. This research introduces VoronoiPatches (VP), a novel data augmentation algorithm based on the principle of non-linear recombination of image information.

Unlike traditional methods that often apply uniform transformations or cutout regions, VP operates by:
- Generating a random layout of points within an image.
- Creating a Voronoi diagram based on these points, partitioning the image into unique, convex polygon-shaped patches.
- Redistributing information between these patches or blending information across patch boundaries (specific mechanism detailed in the paper).
This approach potentially allows for smoother transitions between augmented regions and the original image compared to sharp cutout methods. The core idea is to encourage the CNN to learn more robust features by exposing it to varied, non-linearly recombined versions of the input data.
🏆 Best Poster Award - ICAART 2023 🏆
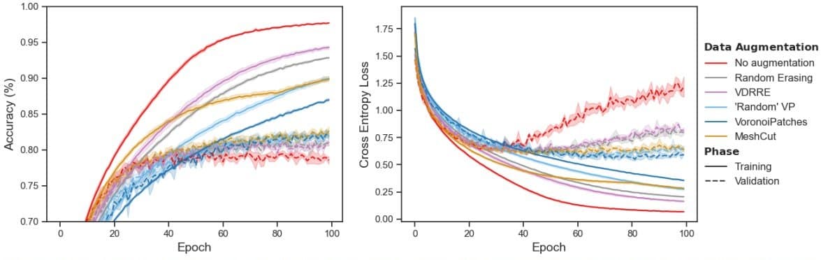
Official LinkEvaluations demonstrate that VoronoiPatches can effectively reduce model variance and combat overfitting. Comparative studies indicate that VP outperforms several existing state-of-the-art data augmentation techniques in improving the robustness and generalization performance of CNN models on unseen data across various benchmarks. (Illium et al., 2023)
